Totals betting in Major League Baseball is one of the most popular ways to approach the…
Impact of Elo Ratings on Tennis Match Predictions
Elo Ratings on Tennis Match Predictions have become a valuable tool for analysts, bettors, and even many tennis enthusiasts looking for a more accurate way to assess player performance. Unlike traditional rankings, Elo ratings quickly adjust based on individual match outcomes. Essentially, Elo ratings can provide deeper insight into a player’s true skill level. In this article we will explore what the Elo rating system is, how it is calculated, where to find updated ratings, and how to effectively use them in tennis handicapping.
Definition of the Elo Rating
The Elo rating system was originally developed by Hungarian-American physicist Arpad Elo as a method for ranking chess players. Over time, it has been adapted for various sports – tennis being one. The Elo rating system essentially assigns each player a numerical rating to represent their skill level. This rating fluctuates based on match results. Unlike ATP rankings, which are based on a rolling 52-week performance, Elo ratings provide a real-time assessment of a player’s current form.
How Elo Rating is Calculated
Elo ratings are updated after every match using a formula that considers the probability of each player’s victory. The calculation follows these steps:
Determine Expected Score: Each player’s expected score is calculated based on the difference in their Elo ratings using the below formula:

The E value above is the expected score for Player A.
The R values in equation above are the Elo Ratings for both players A and B.
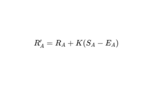
Update the Elo Rating: After the match, the winner gains points, and the loser loses points based on the following formula:

The R’ value represents the player A’s new rating.
The K value is a factor that determines how much the rating changes.
The S value represents the actual match outcome (1 for a win, 0 for a loss).
Players who beat higher-rated opponents gain more points, while those who lose to lower-rated players lose more points. This is what makes the Elo system highly dynamic.
Where to Find Elo Ratings Online
Ok, so if you are anything like me, you do not have the time or energy to run this calculation day in and day out. Good news – the below website provides up-to-date Elo ratings for professional tennis players. I am sure there are a few more out there as well.
Tennis Abstract (tennisabstract.com): Offers in-depth statistical analysis, including Elo ratings updated “weekly(ish)”. The page of ratings also includes a date of the last update to the rankings.
Advantages of Using Elo Ratings Over Traditional Tennis Rankings
Like most things, Elo ratings have both advantages and drawbacks. Let’s start with the positives. Here are some advantages over conventional ranking systems like the ATP and WTA rankings:
- Real-Time Adjustments: Elo ratings change immediately after a match, whereas ATP and WTA rankings update weekly.
- Opponent Strength Consideration: Unlike ATP rankings, which reward points based on tournament level, Elo ratings account for the quality of the opponent.
- No Points Decay: What do I mean by “point decay”? Well, ATP rankings use a rolling 52-week window, meaning past results eventually drop off. Elo ratings, on the other hand, only reflect the latest match performances.
- Better Predictive Power: Because Elo considers opponent strength and match performance, it provides a more accurate predictor of future match outcomes.
Disadvantages of Using Elo Ratings Over Traditional Tennis Rankings
Now, for the drawbacks of using the Elo rating in tennis, we have the following:
- No Tournament Weighting: Unlike ATP and WTA rankings, Elo ratings do not consider the importance of specific events, such as Grand Slams.
- Limited Context: Elo relies solely on match results and does not factor in injuries, fatigue, or other external conditions that may affect performance.
- Surface Neutral: While some versions of Elo attempt to adjust for different court surfaces, the standard Elo rating does not account for a player’s preference or historical performance on specific surfaces.
Potential Ways to Use the Elo Rating in Tennis Handicapping
Many handicappers use Elo ratings to identify value opportunities, predict match outcomes more effectively, and refine their overall betting strategies. Below are several potential ways to incorporate Elo ratings into tennis handicapping:
Compare Player Strength Beyond ATP/WTA Rankings: Elo ratings adjust dynamically based on opponent strength, offering a more precise measure of a player’s current form.
Identifying Undervalued Players: Lower-ranked players with high Elo ratings may present value bets, especially when facing higher-ranked opponents with weaker recent performance.
Spotting a Downward Slope: Players with inflated rankings but declining Elo scores may be overvalued in betting markets.
Head-to-Head Matchup Analysis: Comparing Elo ratings between tennis opponents can provide a more accurate expectation of the match – more so than solely relying on past head-to-head records.
Tracking Player Momentum: Elo ratings reveal rising or slumping players more easily based on recent match performance than long-term ranking points.
Conclusions
Elo Ratings on Tennis Match Predictions offer a pretty outstanding method for evaluating player performance compared to traditional ranking systems. The dynamic nature of Elo ratings allows for real-time updates, considers opponent strength, and provides better predictive power. By leveraging Elo ratings, bettors and analysts can gain a competitive edge when forecasting match outcomes. Whether you are a tennis enthusiast or a sports bettor, incorporating Elo ratings into your handicapping strategy can lead to more informed and strategic decisions. I see Elo ratings as a valuable tool in your toolbox – one that, when combined with other key strategies, can help you construct a well-rounded and highly effective approach to tennis handicapping.
Before You Go…
Get Weekly Winning Angles Delivered to You
Enjoy this article? Join the Core Sports Betting newsletter where we break down actionable strategies, betting angles, and real-game insights.
Some of the concepts we touch on each week can evolve into full handicapping systems – the kind you can test, refine, and potentially build into long-term edges.
Simple. Practical. No fluff.
Proven Sports Betting Courses
Looking to go deeper?
Our step-by-step courses are built around structured systems – not guesses or opinions. Each course has been backtested over a minimum of 10 years, giving you a clear understanding of how the strategy has performed over time.
If you’re serious about improving your process, these courses show you exactly how to approach betting with discipline and structure.
Free Betting Calculators to Sharpen Your Edge
Want to make smarter, faster decisions?
Our free tools help you quickly calculate odds, payouts, and true value — without the guesswork.
Try these popular calculators:
- Moneyline Calculator
- Parlay Calculator
- No-Vig Odds Calculator (Find True Odds)
- Kelly Criterion Calculator
→ Visit the Betting Tools Hub to access all calculators
Like this article? Pin it on Pinterest!


